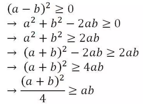
今天我们就来通过大家熟悉的内容来引申一个不太常被大家使用的不等式公式。
各位同学都很熟悉:

我们从这出发,来看看能推导出什么?

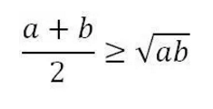
当a>0,b>0时,两边开方得到

这就是基本不等式,并且当且仅当a和b相等时取等号。也可以直接记成 。基本不等式中直接涉及到a+b和ab,题目里如果直接有这两种变量,即可以考虑使用基本不等式来解题。让我们看两个例题:
例题1:

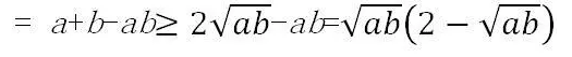
解析:既然两侧的量分别是ab和a+b,优先考虑基本不等式,那我们就用右侧的Quantity B减去左侧的Quantity A来看结果和0比较之后的大小关系。Quantity B - Quantity A =

题目已知a和b都是1到2之间的数字并且a和b不相等,所以2-√ab一定是大于0的数字,即Quantity B - Quantity A>0。所以答案选第二个。
例题2:

解析:题目中有x+y和xy,同样我们优先考虑基本不等式,但是基本不等式有个使用前提是两个量都要大于0,所以我们分情况来讨论。
(1)当x和y都大于0时,x+y≥ 2√xy,结合条件已知题目x+y=1,所以得出1≥ 2√xy,即xy≤1/4<1。
(2)当x和y其中有一个是0时,xy = 0 < 1。当x和y中有负数时,另一个数字只能是正数,那么xy < 0 < 1。综上两种,都是Quantity B更大,所以答案选择第二个。
不等式在GRE考试中,已经是代数知识点中比较常见的考点了,学会应用一些公式来解题可以事半功倍,复习过程中可以多思考多总结。
补充:今天的两个题目还有一个共同之处,都是比较大小题并且都是通过左右两侧数值相减,判断相减之后结果和数字0的大小关系。这种方式也很常用,要多总结学会使用。
(责任编辑:admin)
时间管理 行为重塑和托福80分说再见
①凡本网注明“稿件来源:新东方国际教育北京学校”的所有文字、图片和音视频稿件,版权均属新东方国际教育北京学校所有,转载请注明“来源:新东方国际教育北京学校”。
② 本网未注明“稿件来源:新东方国际教育北京学校”的文/图等稿件均为转载稿,本网转载仅基于传递更多信息之目的,并不意味着赞同转载稿的观点或证实其内容的真实性。如其他媒体、网站或个人从本网下载使用,需自负版权等法律责任。如擅自篡改为“稿件来源:新东方国际教育北京学校”,本网将依法追究法律责任。
③如有本网转载稿涉及版权等问题,请作者见稿后速来电与新东方国际教育北京学校联系,电话:010-62578989。