这次先复习6个比较基本的统计学概念:
1. Mean
2. Median
3. Mode
4. Range
5. Variance
6. Standard deviation
有时候可能概念基本,而题却不简单,所以建议这部分依旧不能掉以轻心,认真练习。
1. 平均数(mean),单词有常见的三种写法:mean; arithmetic mean; average. gre general 考试中不考几何平均值(geometric mean)。求解公式不难,就是把所有数据加起来,再除以数据的个数。如:1,2,3,4 这四个数,平均值就是(1+2+3+4)/4=2.5;再如:1,1,2,2,2,4这四个数,平均值就是(1*2+2*3+4*1)/6=2,后者求解的平均值可称作加权平均值(weighted mean)。
2. 中位数(median),也叫中值,在找的时候,首先要把一组数据从小到大排列,接着,要看数据数量是奇数个还是偶数个,如:1,2,3的中位数就是2;如:1,2,3,4的中位数就是中间两个数字的算术平均值:(2+3)/2=2.5
需要注意的是:在等差数列当中,中位数等于平均数。
3. 众数(mode),一组数据中出现频率最高的数字,如:1,2,3,3的众数就是3,如:1,2,2,3,3的众数就是2和3,也就是说众数可能不唯一。
4. 极差(range),一组数据中的最大值和最小值的非负差值。如:1,2,3,4的极差就是4-1=3;如1,1,1,1的极差就是1-1=0,假设一组数据的极差是0,就意味着这些数据都是一样的。
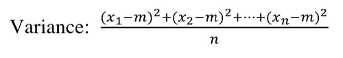
5. 方差(variance),用来描述一组数据的离散程度的统计学概念,公式是:

如1,2,3的方差是:[(1-2)^2+(2-2)^2+(3-2)^2]/3=根号下(2/3)
6. 标准差(standard deviation),和方差类似,公式是:

也就是在方差的基础上,再进行开平方,同样用来描述一组数据的离散程度。如果数据量特别大,就会取一些样本进行衡量,而此时计算标准差的时候就要以(n-1)作为分母,所计算得到的标准差叫样本标准差(sample standard deviation),而为了和样本标准差做区分,以n作为分母的标准差也可以叫总体标准差(population standard deviation).
不过可能因为考试时间有限,公式较为复杂,目前暂没有听说有同学考试遇到标准差的计算。
有关标准差的常见考法有以下两种:
1. 直接给两组数据,比较两组数据标准差谁更大一些(主要出在比大小的题型当中)。例:
Quantity a: the standard deviation of 5, 5, 7, 8, 10
Quantity b: the standard deviation of 6, 6, 7, 8, 9
2. 先给一组数据,然后问经过下面哪种变化以后,标准差变大了,或变小了,还是不变。例:
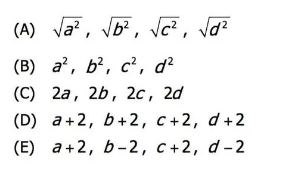
The standard deviation of 4 numbers a, b, c, and d is m, then the standard deviation of which of the following must be m?

对于第二道题的c和d选项,当年中学阶段应该是会要求证明的,这里直接说结论:
如果一组数据同时加一个数值,标准差不变
如果一组数据同时乘一个数值,标准差也乘同样的数值。
需要注意的是:对于c来讲,我们不能说一组数据同时乘2,标准差一定变大,因为有可能a=b=c=d,而此时标准差是0,这样的话哪怕同时乘2,数据仍旧相同。
最后给大家看一些题目作为练习:
1. If the sum of 7 consecutive integers is 434, the the greatest of the 7 integers is
A. 62
B. 65
C. 67
D. 69
E. 71
2. The least and greatest numbers in a list of 7 real numbers are 2 and 20, respectively. The median of the list is 6, and the number 3 occurs most often in the list. Which of the following could be the average of the numbers in the list?
Indicate all such numbers.
A. 7
B. 8.5
C. 10
D. 10.5
E. 12.5
3.

4.

5.

答案
前面两道例题答案:
1. Quantity a is greater
2. D
最后习题答案:
1. B
2. ABCD
3. B
4. D
5. E
解析
习题简单解析:
1. 因为是consecutive integers,所以意味着这7个整数是公差为1的等差数列,利用平均数等于中位数的特点,可马上求得中位数等于434/7=62,然后62+3就是最大值。
2. 常犯的错误是同学把“real numbers”误以为是“integers”进行代数。根据题意,我们可以确定2, 3, 3, 6, __, __, 20, 然后让未知的两个数是6和6,以及20和20,求得平均值的下限和上限,分别是6.57和10.57
3. 这道题是比较基本的二元一次方程组,根据题意列关于平均数和标准差的方程求解即可
4. 对于最年长的20人要涉及两个age intervals, 因为在55-64之间的人只有18,所以可能出现年龄最小值是45,此时range最大,而这样,range=19>11, 所以quantity 不确定a
5. 这道题主要根据的是标准差的两种变化规律,同加一个数不变,同乘一个数标准差也跟着乘。所以bde选项中的40; 50; -20都不重要,直接看x前面的系数即可,哪个大,标准差就会变得更大。
新东方版权所有,转载请注明来源:新东方国际教育北京学校http://bj.xdf.cn
(责任编辑:admin)
时间管理 行为重塑和托福80分说再见
①凡本网注明“稿件来源:新东方国际教育北京学校”的所有文字、图片和音视频稿件,版权均属新东方国际教育北京学校所有,转载请注明“来源:新东方国际教育北京学校”。
② 本网未注明“稿件来源:新东方国际教育北京学校”的文/图等稿件均为转载稿,本网转载仅基于传递更多信息之目的,并不意味着赞同转载稿的观点或证实其内容的真实性。如其他媒体、网站或个人从本网下载使用,需自负版权等法律责任。如擅自篡改为“稿件来源:新东方国际教育北京学校”,本网将依法追究法律责任。
③如有本网转载稿涉及版权等问题,请作者见稿后速来电与新东方国际教育北京学校联系,电话:010-62578989。