英国高中的数学其实有两个科目,分别叫数学Mathematics和进阶数学Further Mathematics,各有6个单元,高考时每个单元分开考。所以如果你选了这两门数学,那么恭喜,你天朝的小伙伴高考只考1场数学,你要考12场!
Alevel改革后,从17年9月入学的学生开始,数学考试将不再分单元。而物理、化学等其他众多学科,从15年9月入学的学生开始就已经不分单元了。改革分三阶段完成,从2015年到2019年横跨4年,连有些任课老师都搞不清楚,特别能体现腐国办事风格的改革,后面会专门写文章讲,这个改革真的会深深地影响你的求学之路。
Mathematics的第一单元,代号C1,经常被用来吐槽腐国人民的(数学)智商。
举个例子
2015年5月Edexcel考试局C1真题

解方程……你只要知道y=2x+4,这题就做出来了一半……不过,这里好歹有两个二次方,看着还是有点小复杂呢。
再举个例子

此处我把题目翻译为中文,免得这一行英文把人吓住:

这是真的高!考!题!不是初一分班考试!
但是,后面我要说正经的了。
就是这个2016年5月的数学C1考试,着实把考生吓坏了,英国《每日电讯报》是这么报道的:

“他们肯定给错试卷了”——学生在经历一场跟往年考试“没有一点类似”的 “根本不可能”的数学考试以后愤怒地说。
因为根据十几年考试的经验,第1题一般都是人民群众是喜闻乐见的送分题,但是这张考卷的第1题是这样的:

最前面长长的一条是什么鬼?!还有无理函数?!还在分母里?!你确定这是C1的第1题吗?
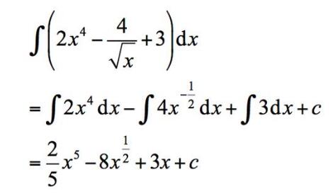
不是说英国高中的题目,国内小学生都能做吗?你们这些骗子……积分即使在中国,也是大学才学的东东啊!!!
不要慌......只要你学好C1的内容,记住基本的积分加法法则,会用负指数和分数指数,记住x的任意次项的积分法,还是可以轻松做出来的:

所以说,即使是最简单的单元C1,也不能仅凭在中国初中数学不错,或者已经读过一两年高中,就掉以轻心。英国的数学虽然深度不及中国,但是覆盖面更广。并且,即使是不涉及到新知识的题目,也不是随随便便就能做对的。
举个例子
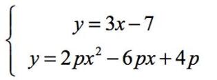
依然是2016年C1真题:

看起来比上一题友好一些,不过有一点迷茫的感觉……
这道题其实也并不难,难点在于如何把这段话“The straight line with equationy=3x-7 does not cross or touch the curve with equation y=2px2-6px+4p”从文字表达转换为数学语言。
看下面这三个互为充分必要条件的表述你就清晰了:

所以,这道题的条件如果换个说法就是:这个方程组没有实数解!

一下子清晰了有木有!!!一下子就想到△=b2-4ac<0了有木有!!
解题过程如下:

很简单吧,用的也都是国内初中就学过的知识,不过,这道题的得分率在2016年的C1考试里并不高,因为如何将文字表达转换为数学语言是个难点,对于非英语母语的中国学生更是如此。
总结
1. 在英国,中国学生的数学优势是肯定存在的,一些题目对我们来说就是初中甚至小学数学。而且,在总分100分的考试里,80分以上就是A,90分以上就是A*。这种评分方式,相比中国赤裸裸地把各科高考分数加起来算总分,还是温柔许多,降低了压力。
2. 但英国的高中数学绝对不是 “简单”的,考试里的难题也豪不逊色于中国高考压轴题。
3. 中国学生最常见的困难是,很多知识点在中国的中学阶段不涉及,除了上面提到的积分,还有S统计学,D决策学,M力学(你没有看错,力学在数学里)等等。到了英国,连日常对话都还在努力听懂中,就要听数学老师用英语讲一些全新的抽象概念,就算知识点本身不难,也常常搞得人云里雾里。
责任编辑:admin
① 凡本网注明“稿件来源:北京新东方学校”的所有文字、图片和音视频稿件,版权均属北京市海淀区私立新东方学校所有,转载请注明“来源:北京新东方学校”。
② 本网未注明“稿件来源:北京新东方学校”的文/图等稿件均为转载稿,本网转载仅基于传递更多信息之目的,并不意味着赞同转载稿的观点或证实其内容的真实性。如其他媒体、网站或个人从本网下载使用,需自负版权等法律责任。如擅自篡改为“稿件来源:北京新东方学校”,本网将依法追究法律责任。
③ 如有本网转载稿涉及版权等问题,请作者见稿后速来电与北京新东方网联系,电话:010-62578989。